供配电技术 ¶
约 6080 个字 26 张图片 预计阅读时间 24 分钟
智能供配电技术 2023-2024 春 回忆卷 - CC98 论坛
课程信息
- 课程名称:智能供配电技术
- 课程教师:杨强
题型 ¶
智能供配电技术 2023-2024 春 回忆卷 - CC98 论坛
选择题 ¶
识图题 ¶
- 电流流向
- 电气安装图:配电线路注释
简答题 ¶
回答思路:是什么——为什么——怎么做
计算题 ¶
- Chap2 计算负荷
- Chap2 功率损耗、功率因数、尖峰电流
- Chap3 短路电流(标幺值)
- Chap5 导线与电缆截面(发热条件、经济电流密度)
供配电系统简介 ¶
- 功能:将一次能源(如煤炭、天然气、水力、核能、风能、太阳能等)转化为电能。
- 主要设施:
- 传统电厂:火力发电厂(燃煤、燃气
) 、水电站、核电站。 - 可再生能源电厂:风力发电场、光伏电站、生物质能电站等。
- 传统电厂:火力发电厂(燃煤、燃气
- 功能:将发电厂产生的高压电能远距离输送至负荷中心,减少损耗。
- 关键组成部分:
- 输电线路:通常采用高压(110kV 及以上)或特高压(如 ±800kV 直流、1000kV 交流
) ,如中国的“西电东送”工程。 - 变电站:升压(发电厂出口)和降压(靠近用户侧)变压器、断路器、隔离开关等。
- 区域电网互联:通过主干网连接不同区域,提高供电可靠性和资源调配能力(如欧洲跨国电网
) 。
- 输电线路:通常采用高压(110kV 及以上)或特高压(如 ±800kV 直流、1000kV 交流
- 功能:将输电系统的高压电能降压后分配到终端用户。
- 结构:
- 电压等级:中压(10kV~35kV)和低压(220V/380V
) 。 - 网络类型:辐射状(树状
) 、环状或网状,以提高可靠性。 - 设备:配电变压器、开关柜、电缆 / 架空线路、无功补偿装置等。
- 电压等级:中压(10kV~35kV)和低压(220V/380V
- 用户分类:
- 工业用户:高耗能、对电压稳定性要求高(如钢铁厂
) 。 - 商业与居民用户:负荷波动大,需满足日常用电需求。
- 特殊用户:医院、数据中心等对供电可靠性要求极高。
- 工业用户:高耗能、对电压稳定性要求高(如钢铁厂
- 技术发展:
- 智能电表、需求响应(用户参与调峰
) 。 - 电动汽车充电设施等新型负荷的接入。
- 智能电表、需求响应(用户参与调峰
- 实时平衡:发电与用电需时刻匹配,否则可能导致频率波动或停电。
- 高可靠性:通过冗余设计(如多回线路
) 、备用电源保障连续供电。 - 复杂性与互联性:跨区域互联提高效率,但也增加连锁故障风险。
- 动态演化:从集中式向“源 - 网 - 荷 - 储”协同的灵活系统转型。
电能不能储存
电力系统生产特点:发电、供电、用电同时完成。
Chap1 供配电系统位置、重要性 ¶
- 电力系统= 发电厂 + 变电所 + 输电线路 + 用户
- 动力系统= 电力系统 + 动力装置 + 能源系统
- 电力网分为:地方电力网(<35kV
) 、区域电力网 (110-220kV)、超高压输电网 (>330kV)
要做到有功功率和无功功率的平衡
以前是源随荷动,现在是源荷互动,动态平衡
2030 碳达峰 2060 碳中和
发电厂类型 ¶
- 凝气式火电厂:燃烧使汽轮机转动
- 热电厂:供电 + 供热
- 水电站:水轮机
- 核电站:核裂变——汽轮机
- 风力发电站
- 潮汐发电站:幅度必须有机密,潮汐行程天然水库
- 太阳能发电:现在光伏发电效率 24%;塔式、槽式
- 地热能发电
变电所 ¶
升压变电所一般安装在发电厂
为了防止高压危险,距离用户近的时候需要减压;减压变电所是在传递电能的同时降低电压。
规模上分为
- 枢纽变电所:电压等级高,一次电压 330or500kV
- 地区重要变电所:一次电压 220or110,二次 35or10kV
- 一般变电所
- 中间变电所:系统功率交换的作用
- 终端变电所:靠近负荷点,直接给用户供电
中性点运行方式 ¶
电力系统中性点是指发电机、变压器星形接线中性点
中性点就像三相电的「平衡中心

运行方式:
- 直接接地:110KV 以上大接地电流系统;用电可靠性低
- 中性点不接地:10KV 架空线路,小接地电流系统;自动熄弧,非故障相电压升高不大,不会破坏系统的对称性,故可带故障连续供电 2h,供电的可靠性相对提高
- 经消弧线圈接地:小接地电流系统
- 经阻抗接地:线路长度的增加,单相接地电容电流随之增大,消弧线圈很难熄灭;
消弧线圈是一个具有铁芯的可调电感线圈
供电质量 ¶
电压、波形和频率
电压:¶
- 感应电动机影响:电压偏差影响转矩和温升,可能损害绝缘。
- 照明设备影响:电压偏差影响发光效率和寿命。
- 电子设备影响:电压偏差可能导致系统紊乱、数据损坏和精确控制问题。
- 无功补偿影响:电压过低可能降低补偿效率,引起电网问题。
改善措施
- 就地进行无功功率补偿
- 调整同步电动机的励磁电流
- 采用有载调压变压器
电压波动和闪变是指电压在一段时间内急剧变化而偏离额定值的现象。具体来说: - 电压波动 :周期性电压急剧变化引起电源光通量急剧波动而造成人的视觉感官不舒适的现象。 - 闪变 :电压波动和闪变是由电弧炉、轧机、电弧焊机等波动负荷引起的。
措施
- 采用单独回路供电
- 降低共用配电线路阻抗
- 提高供电电压
- 增加短路容量
- 采用静止型无功功率补偿装置
波形 ¶
由于电力系统中存在大量的非线性供用电设备,使得电压波形偏离正弦波,这种现象称为电压正弦波畸变。电压波形的畸变程度用电压正弦波畸变率来衡量,也称为电压谐波畸变率。
波形的改善措施 :
- 加强系统承受谐波的能力
- 提高供、用电设备抗谐波干扰的能力
- 限制谐波的产生
- 装设交流滤波器吸收谐波
频率 ¶
频率偏差 是指供电的实际频率与电网的额定频率的差值。我国电网的标准频率为 50Hz,又称工频。频率偏差一般不超过 ±0.5Hz,对于大容量电网,频率偏差不超过 ±0.2Hz。
频率偏差改善措施 :调整频率的办法是增大或减小电力系统发电机的有功功率。通过调整发电机的输出功率,可以影响电网的频率,从而改善频率偏差。
电压等级 ¶
从另一方面讲,电压等级越高,对设备的绝缘性能要求也越高,投资费用相应增加。 因此,供配电电压的选择主要取决于用电负荷的大小和供电距离的长短。
额定电压 500kv,330kv,220kv,110kv,63kv,35kv,10kv
- 220kV 及以上:为输电电压,用来完成电能的远距离输送。
- 110kV 及以下:为配电电压,完成降压和电能的分配。
- 35~110kV 配电网:高压配电网。
- 10~35kV 配电网:中压配电网。
- 1kV 以下:为低压配电网。

Chap2 电力负荷与计算 ¶
本章重点:三相用电设备组计算负荷的确定方法、尖峰电流的计算方法、无功功率补偿容量的确定与无功功率补偿装置的选择、供电系统的总计算负荷确定方法。
本章难点:利用系数法确定三相用电设备组的计算负荷。
- 什么时候用需要系数法?什么时候用二项式法
电力负荷 ¶
- 所耗用的电功率或电流的大小
- 指用电设备或用电单位
电力负荷的分级
- 一类(损失大,有人员伤亡
) :两个独立的电源供电 - 二类:造成生产流程紊乱且难以恢复。两个回路供电(类似高德改路线)
- 三类:单回路供电
工作制
- 连续工作制:
- 短时工作制:停歇时间长
- 断续周期工作制:规律停歇 ,负荷持续率\(\epsilon = \frac{t}{t+t_0}\times 100\%\)
负荷曲线:电力负荷随时间变化的关系曲线
\(\Delta t = 30min\)
- 计算负荷 :也称最大负荷或需要负荷,是按发热条件选择电气设备的一个假想负荷,其热效应与同一时间内实际负荷所产生的最大热效应相等,统计计算得出。
- 年最大负荷 \(P_{max}\): 全年中负荷最大的工作班内消耗电能最大的半小时的平均功率 , \(P_{max} = P_{30}\)
- 年最大负荷利用小时数 \(T_{max}\) : 电力负荷在全年内消耗的电能与年最大负荷的比值,\(T_{max} = \frac{W_a}{P_{max}}\),\(W_a\) 为年负荷消耗的电能 ; 一班制 \(T_{max} = 1800-3000h\), 两班制 \(T_{max} = 3500-4800h\), 三班制 \(T_{max} = 5000-7000h\)
- 平均负荷 \(P_{av}\) : 电力负荷在一定时间内消耗的电能与该段时间的比值,\(P_{av} = \frac{W}{T}\), 年平均负荷 \(P_{av} = \frac{W_a}{8760}\) (8760 = 24 * 365)
- 负荷系数 \(K_f\) : 平均负荷与最大负荷的比值,\(K_f = \frac{P_{av}}{P_{max}}\)

三相 计算负荷(重点) (计算题)¶
为什么需要计算负荷
计算负荷是按发热条件选择电气设备的一个假想负荷,其热效应与同一时间内实际负荷所产生的最大热效应相等。
目的:合理的选择工厂各级电压供电网络、变压器的容量和电器设备的型号。
I30 中 30 是什么意思?30min
需要系数法(重点)¶
查表的方法
需要系数 \(K_d\):由用电设备工作性质、设备台数、设备效率、线路损耗等因素决定,只能靠统计测量决定
- 有功计算负荷 \(P_{30} = K_d \sum P_{e}\)
- 设备容量 \(P_e\): - 连续与短时工作制:取所有设备的铭牌额定容量之和 \(P_e = \sum P_n\) - 断续周期工作制:等效发热原理换算到负荷持续率\(\epsilon\), \(P_e = P_N \frac{\sqrt{\epsilon_N}}{\sqrt{\epsilon}}\),其中\(P_N\)为铭牌额定容量,\(\epsilon_N\)为铭牌负荷持续率,\(\epsilon\)为规定负荷持续率,25%或者100%
- 无功计算负荷 \(Q_{30} = P_{30} \tan \phi\)
- 视在计算负荷 \(S_{30} = \frac{P_{30}}{\cos \phi}\)
- 计算电流 \(I_{30} = \frac{S_{30}}{\sqrt{3}U_n}\)
例题

多组三相用电设备的计算
其中 : - \(K_{\Sigma p}\) - 有功负荷综合系数 - \(K_{\Sigma q}\) - 无功负荷综合系数 - \(U_N\) - 额定电压
综合系数取值
-
车间干线上的计算负荷 - \(K_{\Sigma p} = 0.85 \sim 0.95\) - \(K_{\Sigma q} = 0.90 \sim 0.97\)
-
低压母线上的计算负荷 1. 由用电设备组计算负荷直接相加来计算时 - \(K_{\Sigma p} = 0.85 \sim 0.90\) - \(K_{\Sigma q} = 0.85 \sim 0.95\) 2. 由车间干线计算负荷直接相加来计算时 - \(K_{\Sigma p} = 0.90 \sim 0.95\) - \(K_{\Sigma q} = 0.93 \sim 0.97\)
一般会选择车间干线这个分支,不会选择低压母线这个分支。
例题


查表的时候功率因数一般选择大一点的
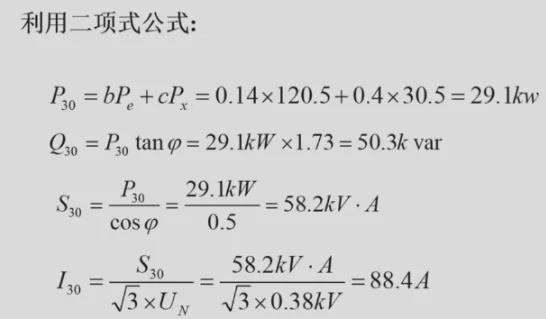
二相式法 ¶
- \(P_{e}\) - 用电设备组的设备容量
- \(P_{x}\) - 用电设备组中 x 台容量最大的用电设备的设备容量
- \(b,c\) - 二项式系数 , 查表
适用于设备台数少,容量差别大,低压分支干线的计算负荷
\(x\) 和 \(P_x\) 的选取规则 : 1. 如果用电设备组的总台数 \(n < 2x\),\(x\) 为附录表1中的最大容量设备台数,则公式中的 \(x\) 取值为:\(x = \frac{n}{2}\),\(x\) 四舍五入取整
- 如果用电设备组总台数 \(n \leq 2\),则 : \(P_{30} = P_e\) 对于单台电动机而言: \(P_{30} = \frac{P_e}{\eta}\),其中 \(\eta\) 为额定效率
例题

多组用电设备
对于多组用电设备,计算公式如下:
\(P_{30} = \sum(bP_e)_i + (cP_x)_{max}\)
\(Q_{30} = \sum(bP_e \tan \varphi)_i + (cP_x)_{max} \tan \varphi_{max}\)
其中 : - \(bP_e\) - 各组的平均负荷 - \((cP_e)_{max}\) - 其中一组最大的附加负荷 - \(\tan \varphi_{max}\) - 最大附加负荷 \((cP_e)_{max}\) 的设备组的平均功率因数角的正切值
计算视在功率和电流 :
\(S_{30} = \sqrt{P_{30}^2 + Q_{30}^2}\)
\(I_{30} = \frac{S_{30}}{\sqrt{3}U_N}\)
教材附录表 A-6
例题

单相负荷计算 ¶
工厂计算负荷(计算题)¶
需要系数法 ¶
需要系数法计算公式:
\(P_{30} = K_d \cdot P_e\) - \(K_d\) - 全厂需要系数(附录2查表) - \(P_e\) - 全厂用电设备总容量
\(Q_{30} = P_{30} \tan \varphi\)
\(S_{30} = \frac{P_{30}}{\cos \varphi}\)
\(I_{30} = \frac{S_{30}}{\sqrt{3}U_N}\),\(U_N\) - 额定电压
年产量估算法 ¶
- \(A\) - 年产量
- \(a\) - 单位产品耗电量
- \(T_{max}\) - 年最大负荷利用小时数 ( 附录 3 查表 )
功率损耗 ¶
有功损耗
\(\Delta P_{T}=\Delta P_{Fe}+\Delta P_{Cu}=\Delta P_{0}+\Delta P_{k}\left(\frac{S_{30}}{S_{N}}\right)^{2}=\Delta P_{0}+\Delta P_{k}\beta^{2} \\\approx 0.015 S_{30}\)
无功损耗
\(\Delta Q_{T}=\Delta Q_{0}+\Delta Q_{N}\left(\frac{S_{30}}{S_{N}}\right)^{2}\approx S_{N}\left[\frac{I_{0}\%}{100}+\frac{U_{0}\%}{100}\left(\frac{S_{30}}{S_{N}}\right)^{2}\right]= \Delta Q_{T}=\Delta Q_{0}+\Delta Q_{N}\left(\frac{S_{30}}{S_{N}}\right)^{2}\approx S_{N}\left[\frac{I_{0}\%}{100}+\frac{U_{0}\%}{100}\left(\frac{S_{30}}{S_{N}}\right)^{2}\right]=S_{N}\left[\frac{I_{0}\%}{100}+\frac{U_{0}\%}{100}\beta^{2}\right]\\\approx 0.06 S_{30}\)
- \(S_{30}\): 变压器二次侧的视在计算负荷
- \(\beta\): 变压器的负荷率
功率因数(计算题)¶
-
瞬时功率因数 \(\cos \varphi = \frac{P}{S} = \frac{P}{\sqrt{3}UI}\) - 监测负荷用
-
平均功率因数 \(\cos \varphi_{av} = \frac{W_p}{\sqrt{W_p^2 + W_q^2}}\) - 调整电费用,其中 \(W_p\) 为有功电量,\(W_q\) 为无功电量
-
最大负荷时的功率因数 \(\cos \varphi = \frac{P_{30}}{S_{30}}\) - 确定无功补偿容量用
功率因数对供电系统的影响
- 增加供电系统的设备容量和投资
- 增大线路和变压器的功率损耗
- 线路和变压器电压损失增大,电压质量下降
无功功率补偿:简单的三角函数问题
例题


无功补偿的方式:高压集中补偿、低压集中补偿和分散就地补偿(个别补偿)
尖峰电流 ¶
单台或者多台持续 1-2s 短时最大负荷电流
作用:就是启动电流,目的是为了选择熔断器、镇定低压断路器
产生原因:多台设备同时启动
式中,\(I_{N}\) 额定电流,\(K_{kt}\) 启动电流倍数
或
式中,
- \(I_{stmax}\) 为用电设备组中起动电流与额定电流之差为最大的那台设备的起动电流;
- \(\left( I_{st} - I_N \right) _{max}\) 为用电设备组中起动电流与额定电流之差为最大的那台设备的起动电流与额定电流之差;
- \(K_{\Sigma}\) 为上述 \(n-1\) 台设备的同时系数,其值按台数多少选取,一般为 \(0.7\sim1\);
- \(I_c\) 为全部设备投入运行时线路的计算电流。

Chap5 电力线路 ¶
电力线路拓扑结构 ¶
高压配电线路拓扑结构 ¶
| 拓扑结构 | 优点 | 缺点 | 适用范围 | 一二级负荷设计方法 |
|---|---|---|---|---|
| 放射式 | • 线路间互不影响 • 供电可靠性较高(一般二级负荷) • 便于装设自动装置 • 保护装置较简单 |
• 高压开关设备较多 • 每台高压断路器须装设一个高压开关柜,投资增加 • 发生故障或检修时,该线路所供电的负荷都要停电 |
• 适用于对供电可靠性要求较高的场合 • 二级负荷供电系统 |
• 二级负荷:可在车间变电所高压侧或低压侧间设联络线 • 一级负荷:需双电源供电 |
| 树干式 | • 减少线路的有色金属消耗量 • 采用的高压开关数少 • 投资较省 |
• 供电可靠性较低 • 干线故障时,所有接于干线的变电所都要停电 • 在实现自动化方面适应性较差 |
• 适用于对供电可靠性要求不高的场合 • 三级负荷供电系统 |
• 二级负荷:采用双干线供电或两端供电的接线方式 • 一级负荷:不适用 |
| 环形 | • 供电可靠性高 • 实质上是两端供电的树干式接线 • 便于切换操作 |
• 保护配置较复杂 • 投资较高 |
• 在现代城市电网中应用广 • 适用于一、二级负荷 |
• 多用 " 开口 "(开环) |
低压配电线路拓扑结构 ¶
| 拓扑结构 | 优点 | 缺点 | 适用范围 | 一二级负荷设计方法 |
|---|---|---|---|---|
| 放射式 | • 引出线故障时,互不影响 • 供电可靠性较高 |
• 采用的开关设备较多 • 有色金属消耗量较多 |
• 多用于设备容量较大或对供电可靠性要求较高的设备配电 | • 一级负荷:需配置自动转换开关 • 二级负荷:可采用手动转换开关 |
| 树干式 | • 开关设备较少 • 有色金属消耗量较少 |
• 干线故障时,影响范围大 • 供电可靠性较低 |
• 适用于容量较小而分布较均匀的设备 • 如机械加工车间、工具车间、机修车间、机床、小型加热炉等 |
• 二级负荷:需设置分段开关 • 一级负荷:不适用 |
| 环形 | • 供电可靠性较高 • 任一段线路故障或检修时,不致造成停电或只短时停电 • 只需切换电源就能恢复供电 |
• 线路较长 • 控制较复杂 |
• 车间变电所的低压侧,通过低压联络线互联而成环形 | • 多采用 " 开口 " 运行 • 一级负荷:环网两侧电源互为备用 • 二级负荷:可通过切换实现快速恢复供电 |
接线总原则:简单、可靠、尽量深入负荷中心。
各种拓扑结构的优缺点、适用范围、高低压、图怎么画、一二级负荷如何设计
架空线路:
- 导线分类
- 避雷线
- 电杆分类
- 绝缘子
- 金具:连接导线、安装横担和绝缘子
结构与敷设 ¶
- 导线怎么排布
- 导线种类:LJ、LGJ
- 电线杆什么距离,弧垂
- 线路的路径选择
导线与电缆截面 ( 计算题 ) ¶
通常 10kV 及以下高压线路和低压动力线路按发热条件选择,按其他条件校验;低压照明线路按电压损耗条件选择,按其他条件校验;
35kV 及以上的高压线路,按经济电流密度选择,再校验其他条件。
若导体敷设处的环境温度与允许载流量所采用的环境温度不同时,则导体的允许载流量应乘以温度校正系数:
其中,\(\theta_{a1}\) 为导线额定负荷时最高允许温度,
\(\theta_{0}\) 为导线的允许载流量所采用的环境温度,
\(\theta^{'}\) 为导线敷设地点实际的环境温度。
按规定,选择导体的“实际环境温度”:
户外(含户外电缆沟
户内(含户内电缆沟
而直接埋地电缆,则取当地最热月地下 0.8m 的地壤平均温度,或近似地取当地最热月平均气温。
发热条件计算截面 ¶
三相系统、中性线和保护线
- 中性线(N 线)截面 A0 的选择
- 一般三相四线制线路的中性线截面 A0: 应不小于相线截面Aφ的50%,即 \(A_0 \geq 0.5A_\varphi\)
- 两相三线制及单相线路(单相二线)的 A0: 因中性线与相线电流相等,故其中性线截面A0应与相线截面Aφ相同,即 \(A_0 = A_\varphi\)
- 三次谐波电流突出的三相四线制线路的 A0: 由于各相的三次谐波电流均通过中性线,使其电流可能等于甚至超过相线电流,故中性线截面A0宜等于或大于相线截面,即 \(A_0 \geq A_\varphi\)
- 保护线(PE 线)截面 \(A_{PE}\) 的选要考虑系统发生单相短路,短路电流通过时的短路热稳定度。
- 当相线截面 \(A_{\varphi}\leq 16mm^2\) 时,\(A_{PE} \geq A_{\varphi}\)
- 当 \(16mm^2 < A_{\varphi} \leq 35mm^2\) 时,\(A_{PE} \geq 16mm^2\)
- 当 \(A_{\varphi}>35mm^2\) 时,\(A_{PE} \geq 0.5A_{\varphi}\)
- 保护中性线(PEN 线)截面的选择 :PEN 线兼双重功能,故其截面选择应同时满足 PE 线和 N 线的要求,取其中的最大截面。
经济电流密度计算截面 ¶
- 根据 \(I_{30} = \frac{P_{30}}{\sqrt{3}U_N \cos \varphi}\)
- \(j_{ec}\) 查表
- 计算的截面积 \(A_{ec} = \frac{I_{30}}{j_{ec}}\)
- 选择一个最接近的截面积,可以更小
- 查附录表 16 验证发热条件
- 查附录表 14 验证机械强度
机械强度验证 ¶
电压损耗计算 ¶
铜耗、铁耗
电器设备的选择 ¶
电气设备选择的一般条件:按正常工作条件选择,按短路条件校验。即按工作电压、电流选择电气设备,按短路电流校验设备的动稳定和热稳定。
Chap3 短路电流 ¶
基础 ¶
- 是什么:不同部分对地的低阻性短接
- 原因
- 影响
分类 ¶
计算原因:选择电气设备
三相短路危害最大,所以设计的时候考虑最坏情况
- 两相短路电流近似看成三相短路电流的 0.866 倍,单相短路电流为相电压除短路回路总阻抗。两相短路电流计算目的主要是校验保护的灵敏度,单相短路电流计算目的主要是为接地设计等。
短路物理量 ¶
无限大容量系统发生三相短路时,短路全电流由周期分量和非周期分量组成。短路电流周期分量在短路过程中保持不变,从而使短路计算十分简便。
在热、动稳定校验时,短路稳态电流、短路冲击电流是校验电气设备的重要依据。
电流流向(图)¶
短路电流的计算(计算题)¶
欧姆法 (不考)¶
标幺制法 (重点)¶
没有量纲
- 采用标幺值法计算三相短路电流,避免了多级电压系统中的阻抗变换,计算简便,在工程中广泛应用。
热效应与电动效应 ¶
- 热效应:用短路稳态电流计算
- 电动效应:用冲击电流计算
Chap7 二次回路 ¶
保护、测量、控制一次回路
分成两种:直流、交流
操作电源 ¶
直流
交流
其他装置 ¶
Chap8 防雷接地、安全 ¶
过电压 & 防雷 ¶
- 过电压:内部分操作和谐振
- 外部过电压称雷电过电压
雷电分类:
- 直击雷
- 感应类
防雷装置:接闪器、引下线、接地装置
避雷针的 保护范围——滚球法 ¶
相当于把一个假象球体紧贴避雷针,中间空出的部分就是保护范围


接地 ¶
接地故障的时候,接地电流通过接地体向大地做半球形散开
- 降低土壤电阻率:外引式、深埋、换土
N、PEN、PE¶
N:工作零线,中性线
PEN:保护零线,兼作工作零线
PE:保护接地线
供配电系统中的 PE、N、PEN 线各指的是什么?怎么区别和使用? - 知乎
形式 ¶
低压系统接地形式有 IT、TT、TN 三大类,而 TN 类又分为 TN-C、TN-C-S、TN-S 三种形式;
其中字母表示的含义:
(1)字母第一个部分表示配电系统中性点对地的关系
T:电源端中性点一点直接接地;I:电源端中性点与地绝缘或通过高阻抗一点接地。
(2)字母第二部分表示电气装置的外露可导电部分与地的关系
T:外露可导电部分直接接地,与配电系统的接地点无关;
N:外露可导电部分与配电系统的中性点直接做电气连接(也叫接零系统
(3)“-”号后面的字母是扩充说明
C:保护零线与工作零线用同一根线
S:保护零线与工作零线彻底分开,各自独立用两根线
C-S:保护零线与工作零线前边一部分用同一根线,后边一部分保护零线与工作零线彻底分开,用两根线。
低压接地系统:TN-C 、TN-S、TN-C-S、TT、IT 分别适用哪些场所? - 知乎
电气安全 ¶
对人体的危害
- 漏电保护器的工作原理
正常情况下,通过 TAN 一次侧的三相电流相量和等于零,TAN 的铁心中没有磁通,其二次侧没有电流输出。当被保护电路发生漏电或有人触电时,由于漏电电流的存在,通过 TAN 一次侧的三相电流相量不等于零,TAN 中产生零序磁通,其二次侧有电流输出,经放大器放大后,驱动低压断路器 QF 的脱扣线圈 YR,使断路器 QF 自动跳闸。

- 安全用电知识
Chap6 过电流保护 ¶
保护装置:切断电路
选择性:
Extra 电力系统格局 ¶



中国“五大六小”发电集团梳理 - 知乎 起底:中国电力系统企业关系图! - 知乎 在2002年电力改革厂网分家之前的电力行业(包括发、输、配、售、设计、建设等)都只被一个单位—国家电力公司所垄断。2002年厂网分离改革后,分化成多家单位
政府部门:国家能源局、国家发展和改革委员会
两大电网:国家电网、南方电网(以建设和运营电网为核心业务)
两大 EPC 单位:中国电力建设集团公司 ( 中电建 ) 和中国能源建设集团有限公司 ( 中能建 )
设计采购施工总承包 (EPC:即 Engineering,Procurement,Construction 的组合)是我国推行总承包模式最主要的一种。
发电集团 - 五大电力央企:国家能源投资集团、中国华能集团、中国华电集团、中国大唐集团、国家电力投资集团。 - 六小豪门:国投电力、中广核、三峡集团、华润电力、中节能、中核 - 地方公司:浙能、京能、申能、鲁能
设备制造集团:上海电气、东方电气、哈尔滨电气
一些数据
2014-2023 能源生产结构

2022-2023 能源消费结构

2014-2023 全社会用电量与增速

2023 年非化石能源发电量

2023 年发电结构

2017 年
| 公司名称 | 总资产 | 营收 | 利润总额 | 上缴利润 | 员工总数 |
|---|---|---|---|---|---|
| 国家能源集团 | 17828 亿元 | 5423 亿元 | 735 亿元 | 895 亿元 | 34 万人 |
| 中国华能 | 10733 亿元 | 2786 亿元 | 144 亿元 | 255 亿元 | 135329 人 |
| 国家电投 | 10800 亿元 | 1438 亿元 | 76.2 亿元 | — | 14 万人 |
| 中国大唐 | 7458 亿元 | 1895 亿元 | 95.98 亿元 | — | 96095 人 |
| 中国华电 | 7984 亿元 | 2006 亿元 | — | — | — |